Влияние Био-С на частоту простудных заболеваний

Наблюдательное неинтервенционное когортное проспективное исследование влияния Биойогурта BioC Иммун+ на параметры здоровья»
Предварительный статистический анализ и оценка данных по опросникам иммунного статуса при приеме BioC 450 г
Ерден Сураганов, Жамиля Утебалиева, Алмаз Шарман
ТОО «ОО Казахская Академия Питания»
Гипотезы исследования
- Нулевая гипотеза (H₀): Существенных статистических различий в общем балле опросника оценки иммунного статуса между группой, принимающей BioC 450 г один раз в день, и контрольной группой нет.
- Альтернативная гипотеза (H₁): Прием BioC 450 г один раз в день приводит к статистически значимому изменению общего балла по опроснику оценки иммунного статуса по сравнению с контрольной группой.
Структура анкеты
Анкета включает 10 вопросов, оценивающих частоту, тяжесть и последствия заболеваний. Максимальный балл — 27.
Анализ отдельных показателей
- Частота заболеваний (вопрос 1): Высокие баллы указывают на повышенную предрасположенность к инфекциям.
- Тяжесть симптомов (вопросы 2–6): Чем выше баллы, тем сложнее организму справляться с инфекциями.
- Рецидивы (вопросы 3, 7, 9): Частые повторения симптомов могут свидетельствовать о хронических проблемах.
- Использование лекарств и обращения к врачу (вопросы 9–10): Высокие баллы сигнализируют о необходимости поддержки иммунитета.
Рекомендации по интерпретации баллов
- >10 баллов: Следует обратить внимание на питание, уровень стресса, физическую активность и режим сна.
- Частые симптомы (лихорадка, кашель, боли в горле): Возможны хронические воспалительные процессы или дефицит витаминов.
- Герпес и ночная потливость (вопросы 7–8): Возможные признаки ослабленного иммунитета.
Формула суммарной оценки иммунитета
где:
- I — итоговый индекс иммунитета
- Bn — баллы за каждый из 10 вопросов
Оценка иммунного статуса
- Каждый ответ имеет определённое количество баллов, суммирование которых позволит сделать вывод о состоянии иммунитета.

Методика статистического анализа
Анализ данных проводился в SPSS 13. После проверки тестом Шапиро-Уилка выявлено значительное отклонение от нормальности (p < 0,05). Для сравнения групп использовались непараметрические методы: U-критерий Манна-Уитни. Данные представлены в виде медианы (Me) и квартилей (Q1–Q3). Значение p<0,05 считалось статистически значимым.
Результаты исследования
Характеристика выборки:
- Всего: 177 человек (исследуемая группа — 77, контрольная — 100).
- Пол: мужчины — 35%, женщины — 65%.
- Средний возраст: исследуемая группа — 28,91 ± 6,66, контрольная — 23,89 ± 5,85, общий — 26,33 ± 6,73.
Общий балл по опроснику за три месяца:
- Декабрь: исследуемая группа — 3.0 (IQR 5.0), контрольная — 5.0 (IQR 7.0), p = 0.036.
- Январь: исследуемая группа — 2.0 (IQR 5.0), контрольная — 4.5 (IQR 8.0), p = 0.035.
- Февраль: исследуемая группа — 3.0 (IQR 6.0), контрольная — 4.0 (IQR 7.0), p = 0.240.
- Совокупный анализ за весь период: p = 0.024 (статистически значимое различие).

- В исследовании приняли участие 177 человек, разделенные на две группы: исследуемую (77 человек) и контрольную (100 человек).
- Распределение по полу в исследуемой группе было 28 мужчин (36,4%) и 49 женщин (63,6%). В контрольной группе – 34 мужчины (34, 0%) и 66 женщин (66,0%). Общее распределение по полу среди всех участников: 62 мужчины (35,0%) и 115 женщин (65,0%).
- Средний возраст участников исследуемой группы составил 28,91 ± 6,66 лет, в то время как в контрольной группе он был 23,89 ± 5,85 лет. В целом, средний возраст всех участников исследования составил 26,33 ± 6,73 лет. Таким образом, группы отличаются по среднему возрасту, а соотношение мужчин и женщин в обеих группах примерно одинаково.
Критерий Шапиро-Уилка (за 3 месяца)



Уровень статистической значимости был установлен на α = 0.05. Медианные значения общего балла по опроснику составили 3.0 (IQR 5.0) в исследуемой группе и 5.0 (IQR 7.0) в контрольной группе (p = 0.024). 95% доверительный интервал (CI) для группы исследуемой группе составил 2.8–4.68, а для контрольной группы — 4.14–5.8.

Медиана в контрольной группе выше, чем в исследуемой. Вариативность (разброс данных) в контрольной группе больше, чем в исследуемой, о чем свидетельствует большая длина коробки и усов. При интерпретации результатов важно учитывать характер используемых оценок, потенциальное влияние индивидуальных особенностей участников и возможные факторы смешения, которые могли повлиять на различие между группами.
Полученные данные дополняют имеющиеся сведения о влиянии йогурта БиоС, однако для более глубокого понимания механизма его воздействия могут потребоваться дополнительные исследования с более крупной выборкой. Выбросы в исследуемой группе могут свидетельствовать о том, что у некоторых участников баллы значительно выше среднего уровня. Общий тренд – в контрольной группе баллы выше и распределены более равномерно, что может свидетельствовать об эффективности приема БиоС 450г один раз в день.

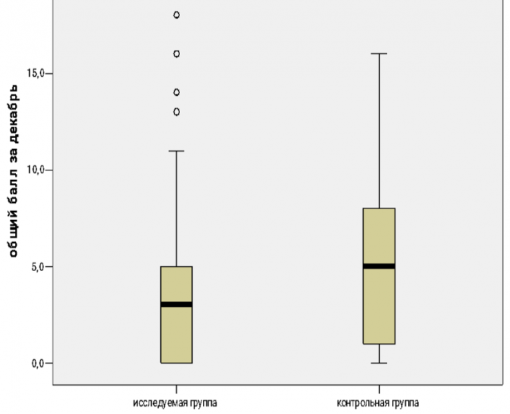
Медианные значения общего балла по опроснику за декабрь составили 3.0 (IQR 5.0) в исследуемой группе и 5.0 (IQR 7.0) в контрольной группе (p = 0.036).

Медианные значения общего балла по опроснику за январь составил 2,0 (IQR 5,0) и 4,5 (IQR 8,0) у пациентов, для которых группа была исследуемой и контрольной (p=0,035).

Медианные значения общего балла по опроснику за февраль составили 3.0 (IQR 6.0)в исследуемой гркппе и 4.0 (IQR 7.0) в контрольной группе (p = 0.240).
В таблице представлены показатели общего балла за декабрь, январь и февраль в контрольной и исследуемой группах. Данные описаны с использованием медианы (Me) и межквартильного размаха (Q1–Q3). Для оценки статистической значимости различий между группами применялся U-критерий Манна-Уитни, так как распределение переменной не соответствовало нормальному (проверено с помощью теста Шапиро-Уилка).

В декабре медианный балл в контрольной группе составил 5 (1–8), в то время как в исследуемой группе – 3 (0–5). Различие между группами было статистически значимым (p <0,05).
В январе медианный балл в исследуемой группе оставался на уровне 2 (0–5), в то время как в контрольной группе 4,5 (0–8) (p< 0,05).
В феврале медианный балл в исследуемой группе вновь составил 3 (0–6), а в контрольной группе – 4 (0–7) (p>0,05).
Динамика иммунного статуса
- В исследуемой группе 79,2% участников имели отличный иммунитет в декабре, 75,3% — в январе и феврале.
- В контрольной группе доля участников с отличным иммунитетом оставалась ниже 60%.
- Доля участников с ослабленным иммунитетом в исследуемой группе снизилась с 5,2% до 2,6%, а в контрольной — с 16% до 7%.
- Разница между группами по доле участников с отличным иммунитетом в декабре составила 21,2%, в январе — 16,3%, в феврале — 16,3%.
Выводы
Результаты исследования демонстрируют лучшие показатели иммунного статуса у участников, принимающих BioC 450 г ежедневно. Совокупный анализ подтверждает статистически значимые различия между группами (p = 0.024). Однако эффект варьировался по месяцам, что может быть связано с сезонными изменениями, индивидуальными особенностями и внешними факторами.
Для более глубокого понимания механизма воздействия BioC 450 г необходимы дополнительные исследования с учетом объективных биомаркеров иммунного ответа.






